1.2 LS-DYNA的前后处理
LS-DYNA 的前后处理非常多,例如 ANSYS、PATRAN、ETA 公司的 FEMB、TrueGrid、INGRID、HYPERMESH,新开发的后处理为 LS-POST 和 LS-PREPOST。另外,将 LS-DYNA 输出的文件进行格式转换后,AVS-EXPRESS 也可以读入,它能够生成质量更高的效果图和动画。
应该针对不同的行业,不同的应用领域选择合适的前后处理。在这里,以 TrueGrid 为前处理、LS-PREPOST 为后处理,介绍 LS-DYNA 软件的 使用方法 。
1.3 显式动力分析的特点
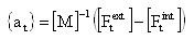
用 中心差分 法在时间 t 求加速度:
其中:
为施加的外力和体力 矢量 。
为下式决定的内力矢量。
Fhg 为沙漏阻力;Fcont 为常量力。
速度与位移用下式得到:
式中:
新的几何构形由初始构形加上 {xo} 获得:
Ls-Dyna 软件简介 (2) - htbbzzg - htbbzzg的博客
非线性问题:
(1) 块质量矩阵需要简单转置。
(2) 方程非耦合,可以直接求解(显式)。
(3) 无须转置刚度矩阵,所有非线性(包括接触)都包含在内力矢量中。
(4) 内力计算是主要的计算部分。
(5) 无须收敛检查。
(6) 保持稳定状态需要小的时间步。
免责声明:本文系网络转载或改编,未找到原创作者,版权归原作者所有。如涉及版权,请联系删