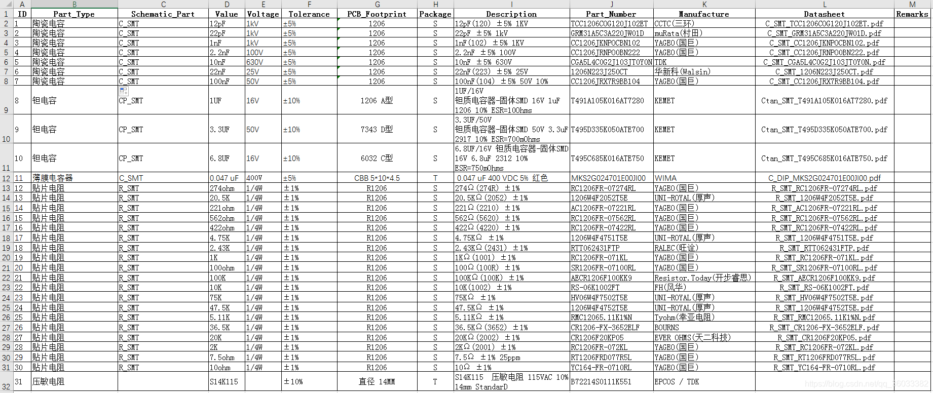
建立BOM的时候需要注意一些必要信息的填写,下边是我的BOM文件中一部分

表中第一行内容说明:
ID就是元件的一个排序,这个会同步到Cadence软件中。
Part_Type是元件类型说明,这一项在Cadence软件调用元件的时候可以进行更好的筛选,如我将电容分为了陶瓷电容、钽电容、薄膜电容。
Schematic_Part是元件在Cadence元件库文件中对应的元件符号,这一项必须要有,并且元件库中要用同样的名字来命名。如我的电容Schematic_Part用的是C_SMT,则元件库中要建立C_SMT名字的元件。
PCB_Footprint这一项就是元件封装信息,要跟Cadence软件实际调用的封装名称一致。
Datasheet该项算是附加项,只是为了方便在Cadence软件中快速的查询元件手册。
同样的,Value、Voltage、Tolerance、Package、Part_Number、Manufacture这些项主要是为了使用时,方便看到一些信息,同样我们还可以加入元件价格等其他元件信息,这些比较随意。
将上述BOM表根据元件类型拆分为一个一个的sheet。主要目的还是元件分类,我将软件分为了几大类:电容、电阻、集成芯片、集成电路模块、半导体器件、隔离器件、机械件。这个可以根据自己认知随意分,主要目的还是为了方便元件的调用,及后续元件库的维护。


数据库可以链接到数据库文件,如微软的办公软件中的Access,也可以直接链接到excel表中。我用的是Excel方式。
链接到数据库的方式可能更适合元件BOM的维护及管理,毕竟数据库具有强大的数据管理功能。这块具体怎么操作我玩不来。只能用笨方法,将数据写入到Excel中,再将Excel中的数据更新到Access数据库中。这样操作就存在一个问题,因为可以有两个路径来修改BOM(Excel和Access),个人容易犯错,单方面修改Excel或Access,这样对元件BOM维护不利。
链接到Excel的好处就是所有的元件BOM信息来源只有一个Excel,不存在上边我说的这种问题。下边主要说一下链接到Excel的具体操作。
现在我们用的电脑基本上都是64位系统,但是odbc64配置链接的时候会出错,具体原因我不清楚。从网上的看到的用odbc32来配置链接就没问题。
a、打开odbc32,打开方式如下:在系统盘路径“C:\Windows\SysWOW64”下找到odbcad32.exe并打开。

b、点开系统DSN窗口,软后点击添加按钮。

c、选择安装数据的驱动程序,选择 Microsoft Excel Driver(*.xls),然后点完成按钮。

d、设置数据源路径如下图所示。

注意:Excel的版本需要是Excel97-2000,我用的Excel97-2003的版本,也没问题,更高版本的Excel是否能用就不确定了,如果更高版本的Excel不能用,可能需要安装odbc对应的相关驱动程序。
e、到此数据文件的链接已经完成。
分两步:
Capture.ini文件所在的位置“C:\Cadence\SPB_Data\cdssetup\OrCAD_Capture\16.6.0”,就是Cadence软件的安装目录。以记事本或写字板等软件打开Capture.ini文件,修改下边三项的路径。

下边是我的软件路径设置:
[Allegro Footprints]
Dir0=F:\CadenceLib\03_PcbFootprint
[PART LIBRARY DIRECTORIES]
Dir0=F:\CadenceLib\02_SchLib
[CIS Browse Directories]
Dir0=F:\CadenceLib\04_Datasheet
[Allegro Footprints]是封装库的路径;
[PART LIBRARY DIRECTORIES]是元件库的路径;
[CIS Browse Directories]是datasheet路径;
a、打开Capture CIS软件,随便打开一个工程文件,然后点击文件栏的Options项,打开CIS Configuration.

b、打开CIS Configuration后弹出下边的对话框,然后点击New项,新建 配置文件 。

c、直接点下一步

d、选择我们之前odbc创建的数据库链接database,然后点下一步

e、勾选我们的元件类别,每一项都是Excel内的一个子sheet,选项名是子sheet的名字,所以这些分类及命名要在Excel内做好。然后点下一步。

f、下边主要是Cadence软件中的一些参数与Excel表中参数一个对应关系的设置。
如果Excel命名和Cadence内关键字的命名一致的话,软件后自动选择;不一致的话我们需要点击下拉窗口自己去选择。
1.选好参数后点下一步

2.同样是选好参数后点下一步

3.PCB _Footprint选项需要我们自己勾选,勾选后点下一步

4.看一下表中的文件对应关系是否正确,没问题的话直接点下一步

5.选择不联网更新元件,然后点下一步

6.勾选Browsable中的选项datasheet项,勾选后在Cadence软件中可以直接打开软件的PDF文件,然后下一步

7.点下一步

8.根据需求勾选Keyed,然后点Finish

9.直接点确定就行

10.点No

11.在 文件名 的地方调谐dbc配置文件的文件名,保存到电脑上。

12.点击OK。

到此,整个CIS Configuration已经完成。
打开一张原理图,在原理图编辑页,点击鼠标右键选择Place Database Part,打开CIS Explorer窗口

打开后的界面如下

点开database前面的+号,可以看到元件分类的列表,还有子列表,我打开子列表的薄膜电容器后在Local Database窗口中就有薄膜电容器的元件,点击Datasheet下的pdf文件我们可以直接打开该元件的pdf文件,方便我们设计时阅读。我们只要双击该元件,就可以在原理图编辑页面进行该元件的摆放。

免责声明:本文系网络转载或改编,未找到原创作者,版权归原作者所有。如涉及版权,请联系删